Номер / задача 889 страница 263, ГДЗ по алгебре за 9 класс к учебнику Никольского
Учебник: Просвещение, 2024
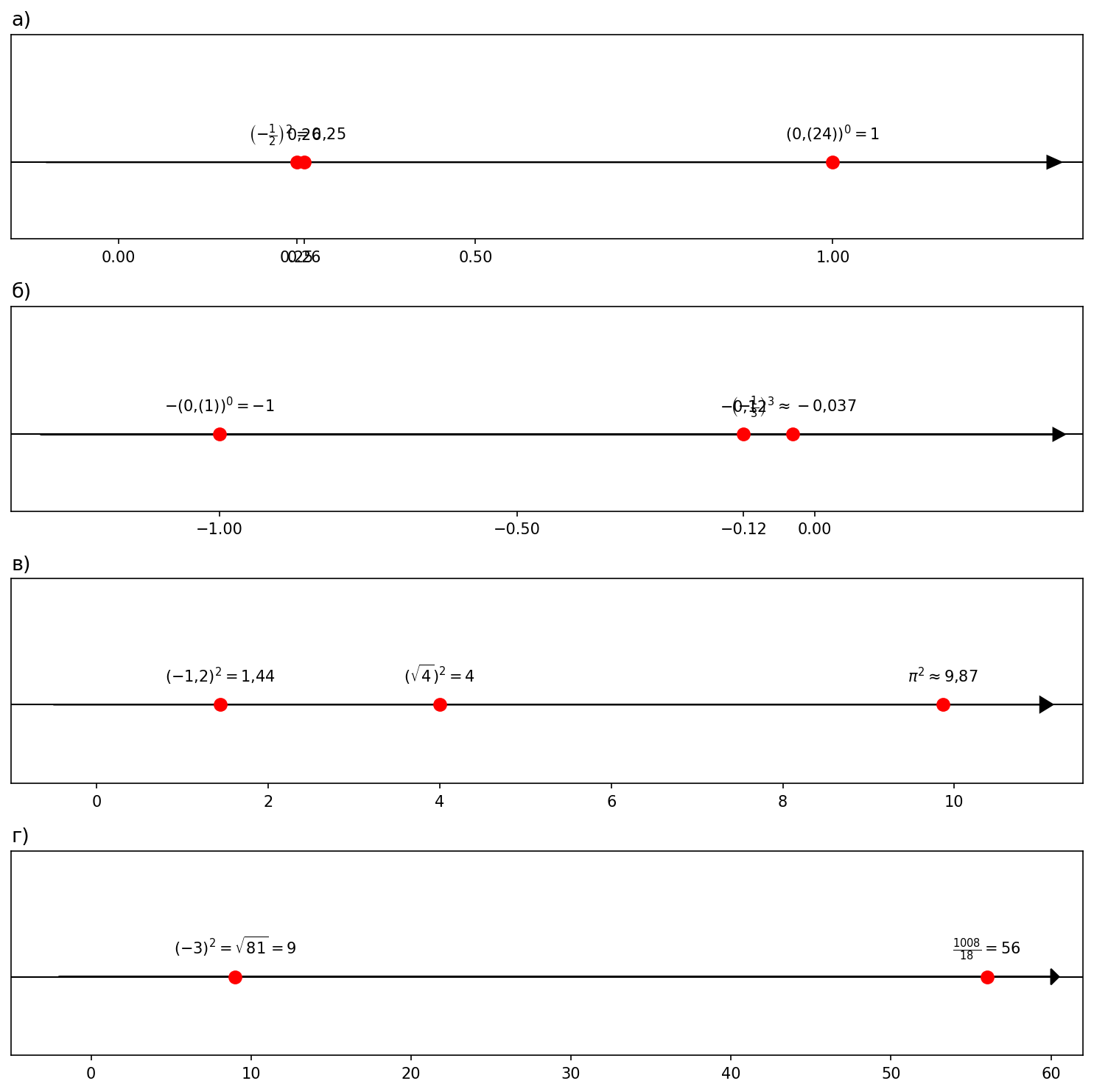
Условие: Сравните числа, укажите их на координатной оси:
а) $0{,}26$; $\left(-\dfrac{1}{2}\right)^{2}$; $(0{,}(24))^{0}$; б) $\left(-\dfrac{1}{3}\right)^{3}$; $-(0{,}(1))^{0}$; $-0{,}12$;
в) $(\sqrt{4})^{2}$; $\pi^{2}$; $(-1{,}2)^{2}$; г) $(-3)^{2}$; $\sqrt{81}$; $\dfrac{1008}{18}$.
а) Вычислим каждое число:
Сравнение: , т.е.
.
б) Вычислим каждое число:
Сравнение: , т.е.
.
в) Вычислим каждое число:
Сравнение: , т.е.
.
г) Вычислим каждое число:
Сравнение: , т.е.
.
Построим координатные оси для каждого пункта:

Ответы:
а)
б)
в)
г)