Номер / задача 522 страница 154, ГДЗ по алгебре за 9 класс к учебнику Никольского
Учебник: Просвещение, 2024
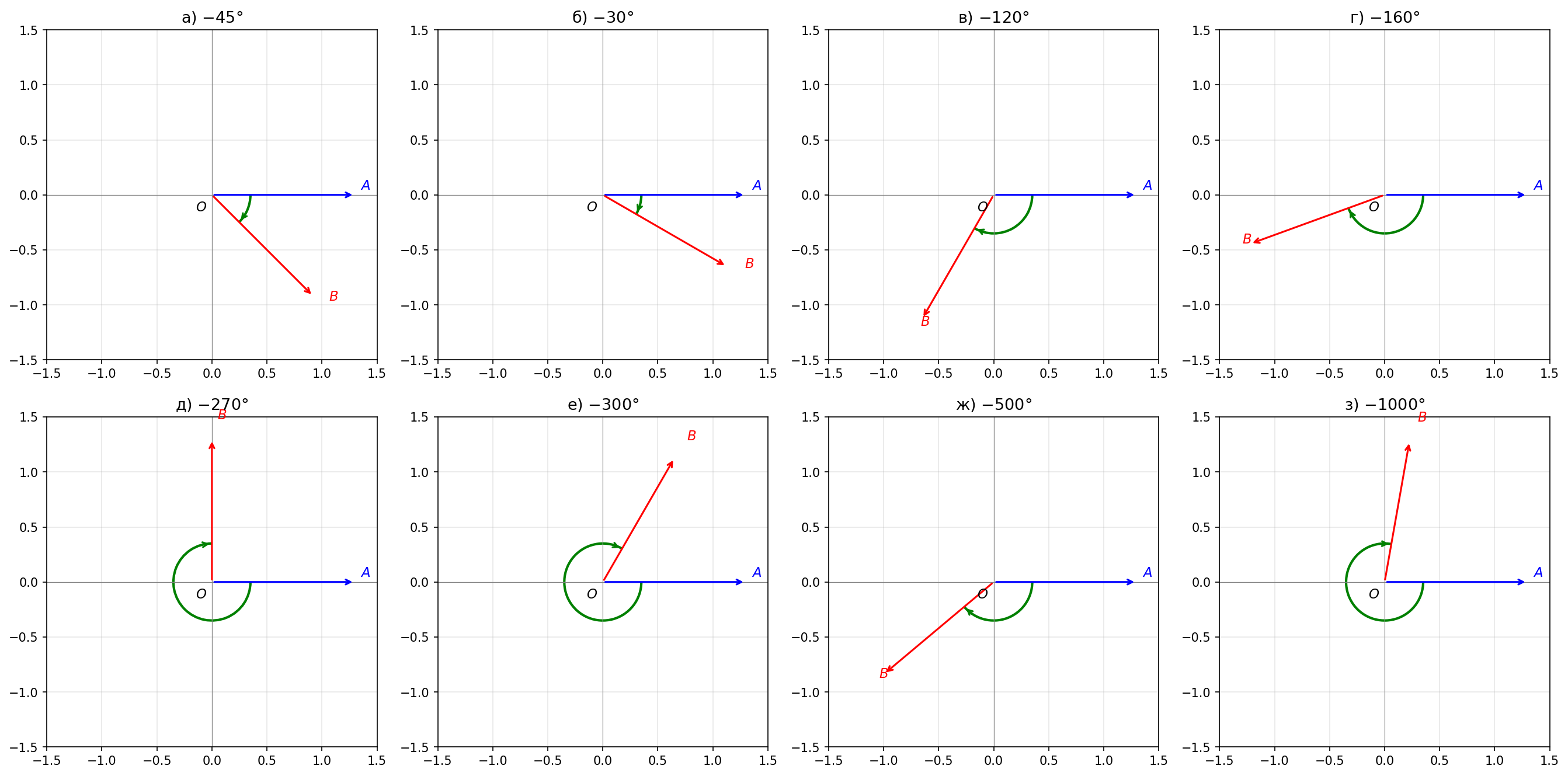
Условие: С помощью транспортира изобразите на координатной плоскости угол $AOB$, полученный поворотом подвижного вектора от вектора $\overrightarrow{OA}$ до вектора $\overrightarrow{OB}$ на угол, градусная мера которого равна:
а) $-45°$; б) $-30°$; в) $-120°$; г) $-160°$;
д) $-270°$; е) $-300°$; ж) $-500°$; з) $-1000°$.
Отрицательная градусная мера означает поворот по часовой стрелке от луча (направленного по положительной полуоси
) до луча
.
Для углов, по абсолютной величине превышающих , представим их в виде
, где
:
- а)
— поворот на
по часовой стрелке.
- б)
— поворот на
по часовой стрелке.
- в)
— поворот на
по часовой стрелке.
- г)
— поворот на
по часовой стрелке.
- д)
— поворот на
по часовой стрелке.
- е)
— поворот на
по часовой стрелке.
- ж)
— поворот на
в положительном направлении и 2 полных оборота в отрицательном направлении. Конечное положение луча
— как при повороте на
по часовой стрелке от начального положения (что эквивалентно направлению
против часовой стрелки, но сам поворот идёт по часовой).
- з)
— поворот на
в положительном направлении и 3 полных оборота в отрицательном направлении. Конечное положение луча
— как при повороте на
по часовой стрелке от начального положения (что эквивалентно
против часовой).
Изобразим все восемь углов на координатной плоскости:

Таким образом, во всех случаях луч направлен по положительной полуоси
, а луч
получен поворотом по часовой стрелке на соответствующий угол. Для пунктов ж) и з):
Значит, в пункте ж) луч занимает то же положение, что и при повороте на
(против часовой), но сам поворот совершается по часовой стрелке с двумя полными оборотами. В пункте з) луч
— как при повороте на
(против часовой), но поворот идёт по часовой с тремя полными оборотами.