Номер / задача 49 страница 18, ГДЗ по алгебре за 9 класс к учебнику Никольского
Учебник: Просвещение, 2024
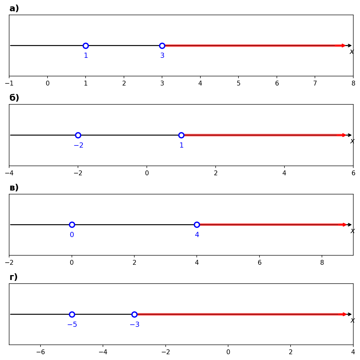
Условие: Отметьте на координатной оси все решения системы неравенств, если они существуют:
а) $\begin{cases} x > 3, \\ x > 1; \end{cases}$
б) $\begin{cases} x > -2, \\ x > 1; \end{cases}$
в) $\begin{cases} x > 0, \\ x > 4; \end{cases}$
г) $\begin{cases} x > -3, \\ x > -5. \end{cases}$
а)
Решениями первого неравенства являются все , т.е. интервал
.
Решениями второго неравенства являются все , т.е. интервал
.
Общая часть этих интервалов — интервал .
Ответ: .
б)
Решениями первого неравенства являются все , т.е. интервал
.
Решениями второго неравенства являются все , т.е. интервал
.
Общая часть этих интервалов — интервал .
Ответ: .
в)
Решениями первого неравенства являются все , т.е. интервал
.
Решениями второго неравенства являются все , т.е. интервал
.
Общая часть этих интервалов — интервал .
Ответ: .
г)
Решениями первого неравенства являются все , т.е. интервал
.
Решениями второго неравенства являются все , т.е. интервал
.
Общая часть этих интервалов — интервал .
Ответ: .
