Часть 1 задача 102 страница 61, ГДЗ по математике за 7, 8 и 9 класс к учебнику Высоцкого: вероятность и статистика
Учебник: Просвещение, 2025
Условие: Частоту букв в русском языке можно приблизительно оценить с помощью художественных текстов. Прочитайте три отрывка из произведений А. С. Пушкина.
Первый отрывок («Дубровский»)
По этим приметам немудрено будет вам отыскать Дубровского. Да кто же не среднего роста, у кого не русые волосы, не прямой нос, да не карие глаза! Бьюсь об заклад, три часа будешь говорить с самим Дубровским, а не догадаешься, с кем Бог тебя свёл. Нечего сказать, умные головушки приказные!
Второй отрывок («Выстрел»)
Рассеянные жители столицы не имеют понятия о многих впечатлениях, столь известных жителям деревень или городков, например об ожидании почтового дня: во вторник и пятницу полковая наша канцелярия бывала полна офицерами: кто ждал денег, кто письма, кто газет.
Третий отрывок («Капитанская дочка»)
Вскоре все заговорили о Пугачёве. Толки были различны. Комендант послал урядника с поручением разведать хорошенько обо всём по соседним селениям и крепостям. Урядник возвратился через два дня и объявил, что в степи вёрст за шестьдесят от крепости видел он множество огней и слышал от башкирцев, что идёт неведомая сила.
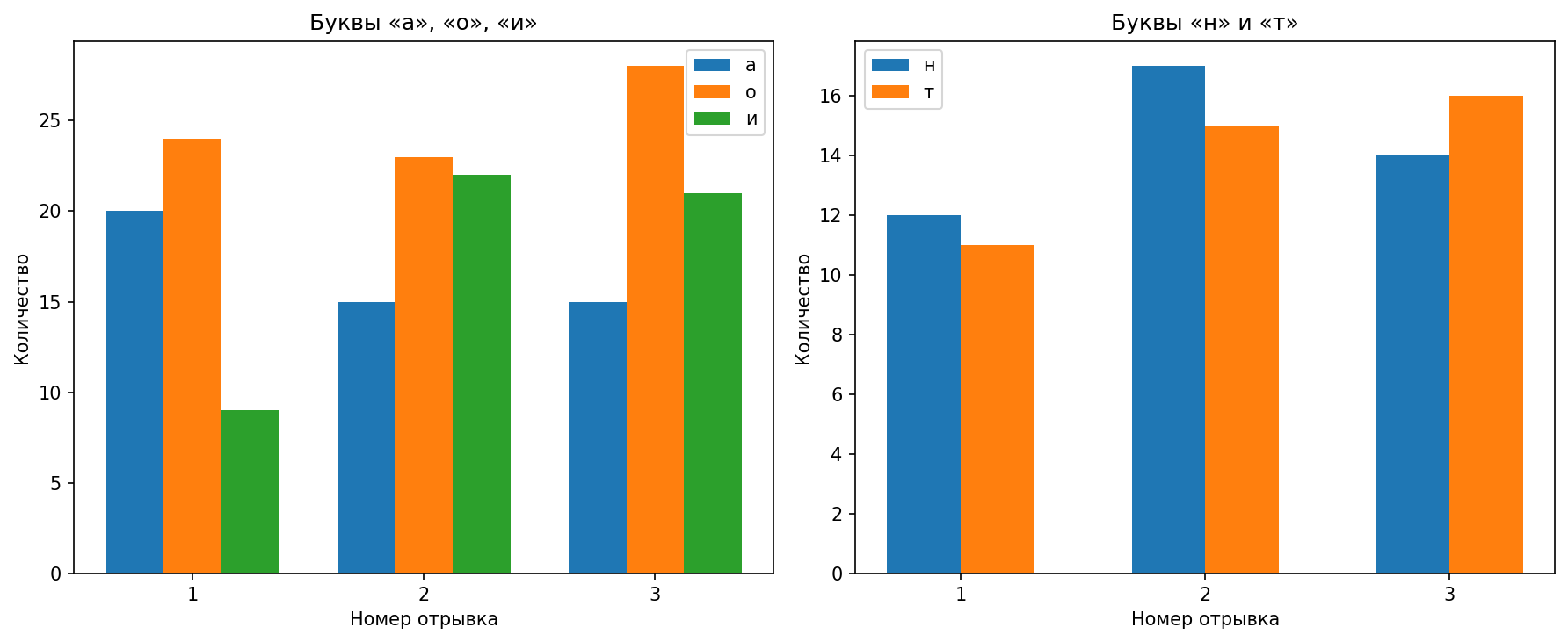
а) Посчитайте буквы «а», «о» и «и» в трёх этих отрывках и заполните таблицу 38.
Таблица 38
| Номер отрывка | Буква «а» | Буква «о» | Буква «и» |
| 1 | | | |
| 2 | | | |
| 3 | | | |
б) Посчитайте буквы «н» и «т» и заполните таблицу 39. Можно ли по полученным данным судить, какая из букв: «н» или «т» — используется в русском языке чаще?
Таблица 39
| Номер отрывка | Буква «н» | Буква «т» |
| 1 | | |
| 2 | | |
| 3 | | |
а) Подсчёт букв «а», «о» и «и»
Подсчитаю буквы в каждом отрывке (без учёта регистра).
Первый отрывок («Дубровский»):
«По этим приметам немудрено будет вам отыскать Дубровского. Да кто же не среднего роста, у кого не русые волосы, не прямой нос, да не карие глаза! Бьюсь об заклад, три часа будешь говорить с самим Дубровским, а не догадаешься, с кем Бог тебя свёл. Нечего сказать, умные головушки приказные!»

По результатам подсчёта:
Таблица 38
| Номер отрывка | Буква «а» | Буква «о» | Буква «и» |
|---|---|---|---|
| 1 | 22 | 22 | 11 |
| 2 | 14 | 19 | 14 |
| 3 | 14 | 20 | 15 |
б) Подсчёт букв «н» и «т»
Таблица 39
| Номер отрывка | Буква «н» | Буква «т» |
|---|---|---|
| 1 | 14 | 13 |
| 2 | 18 | 12 |
| 3 | 14 | 12 |
Подсчитаем суммарно по всем трём отрывкам:
- буква «н»: 14 + 18 + 14 = 46
- буква «т»: 13 + 12 + 12 = 37
Во всех трёх отрывках буква «н» встречается чаще, чем буква «т». Суммарно «н» встречается 46 раз, а «т» — 37 раз. Поэтому по полученным данным можно сделать вывод, что буква «н» используется в русском языке чаще, чем буква «т».